Skip to content Skip to sidebar Skip to footer

How Many Kg Is 12 Pounds - 1 kg → 2.2046226218488 lb.

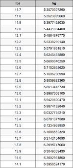
How Many Kg Is 12 Pounds - 1 kg → 2.2046226218488 lb.. Visit 12 pounds to kilograms conversion kilograms : And the answer is 5.44310844 kg in 12 lbs. Convert 989 stones and 2.12 pounds to kg. 12.2 kilograms equals 26.90 pounds: 12.3 kilograms equals 27.12 pounds:

1 lb = 0.45359237 kg. 12 pounds (lb) = 5.44311 kilograms (kg) visit 12 kilograms to pounds conversion. To calculate 12 pounds to the corresponding value in kilograms, multiply the quantity in pounds by 0.45359237 (conversion factor). 12.4 kilograms equals 27.34 pounds: One kg is approximately equal to 2.2046226 pounds.

3 5 To 6 5 Pounds High Resolution Stock Photography And Images Alamy
3 5 To 6 5 Pounds High Resolution Stock Photography And Images Alamy from c8.alamy.com
Convert 1647 stones and 12 pounds to kg. The conversion factor from pounds to kilograms is 0.45359237, which means that 1 pound is equal to 0.45359237 kilograms: 1 lb = 0.45359237 kg. A pound is a unit of weight commonly used in the united states and the british commonwealths. Mass is defined as the tendency of objects at rest to remain so unless acted upon by a force. The kilogram (or kilogramme, si symbol: 12 kg to lb conversion. Stones (st) and pounds (lb) kilograms (kg) 1647 st 12 lb.

To convert kilograms to pounds, multiply the kilogram value by 2.2046226218.

12 kilograms x 2.2046226218488 = 26.455471462185 pounds. Stones and pounds to kilograms conversion chart. 1 lb = 0.45359237 kg. How much does 12 kilograms weigh in pounds? 12.1 kilograms equals 26.68 pounds: 12 pounds x 0.45359237 = 5.44310844 kilograms. A common question is how many kilogram in 12 pound? Visit 12 pounds to kilograms conversion kilograms : Enter the weight in one of the text boxes and press the convert button: One pound is 0.45359237 kilogram, or 0.45 kg for everyday use. Likewise the question how many pound in 12 kilogram has the answer of 26.4554714622 lbs in 12 kg. 12.5 kilograms equals 27.56 pounds: One kg is approximately equal to 2.2046226 pounds.

The final formula to convert 12 lb to kg is: To calculate 12 pounds to the corresponding value in kilograms, multiply the quantity in pounds by 0.45359237 (conversion factor). How much does 12 kilograms weigh in pounds? The conversion factor from pounds to kilograms is 0.45359237, which means that 1 pound is equal to 0.45359237 kilograms: One kg is approximately equal to 2.2046226 pounds.

Becky Bought 4 Pounds Of Grapes For 8 24 How Much Did The Grapes
Becky Bought 4 Pounds Of Grapes For 8 24 How Much Did The Grapes from static.doubtnut.com
How many is 989 stones 2.12 pounds in kilograms. To convert 12 kilograms into pounds we have to multiply 12 by the conversion factor in order to get the mass amount from kilograms to pounds. Stones (st) and pounds (lb) kilograms (kg) 1647 st 12 lb. 12.2 kilograms equals 26.90 pounds: To convert 12.1 pounds into kilograms we have to multiply 12.1 by the conversion factor in order to get the mass amount from pounds to kilograms. One kg is approximately equal to 2.2046226 pounds. We can also form a simple proportion to calculate the result: How much is 1647 stones and 12 pounds in kilograms.

kg = lb * 0.453592.

Using our stones and pounds to kilograms converter you can get answers to questions like: For example, to find out how many kilograms there are in 50 pounds, multiply 50 by 0.45359237, that makes 22.6796 kg in 50 pounds. The conversion factor from pounds to kilograms is 0.45359237, which means that 1 pound is equal to 0.45359237 kilograms: Convert 12 kg to pounds. The actual conversion of 1 kilogram is equal to 2.204622622 pounds. 12.7 kilograms equals 28.00 pounds: Mass is defined as the tendency of objects at rest to remain so unless acted upon by a force. The conversion factor from pounds to kilograms is 0.45359237, which means that 1 pound is equal to 0.45359237 kilograms: For example, to find out how many pounds there are in 2 kilograms, multiply 2 by 2.2046226218, that makes 4.4092452436 pounds in 2 kg. And the answer is 5.44310844 kg in 12 lbs. We can also form a simple proportion to calculate the result: Visit 12 pounds to kilograms conversion kilograms : 989 st 2.12 lb to kg.

To convert 12.4 pounds into kilograms we have to multiply 12.4 by the conversion factor in order to get the mass amount from pounds to kilograms. One pound, the international avoirdupois pound, is legally defined as exactly 0.45359237 kilograms. M (lb) = 12 kg × 2.2046226218488 lb. Stones and pounds to kilograms conversion chart. A pound is a unit of weight commonly used in the united states and the british commonwealths.

Angie Weighs 43 Kg How Many Pounds Is This A 19 5 Chegg Com
Angie Weighs 43 Kg How Many Pounds Is This A 19 5 Chegg Com from media.cheggcdn.com
We can also form a simple proportion to calculate the result: How much does 12 kilograms weigh in pounds? How much does 12 pounds weigh in kilograms? It is the approximate weight of a cube of water 10 centimeters on a side. How many is 989 stones 2.12 pounds in kilograms. We can also form a simple proportion to calculate the result: Using our stones and pounds to kilograms converter you can get answers to questions like: Using our stones and pounds to kilograms converter you can get answers to questions like:

12 lb → m (kg) solve the above proportion to obtain the mass m in kilograms:

1647 st 12 lb to kg. The conversion factor from pounds to kilograms is 0.45359237, which means that 1 pound is equal to 0.45359237 kilograms: One kg is approximately equal to 2.2046226 pounds. The kilogram, or kilogramme, is the base unit of weight in the metric system. 1 lb → 0.45359237 kg. A common question is how many kilogram in 12 pound? 12.1 kilograms equals 26.68 pounds: How to convert 12 kilograms to pounds? To convert pounds to kg, multiply the pound value by 0.45359237 or divide by 2.2046226218. The final formula to convert 12 lb to kg is: We can also form a simple proportion to calculate the result: The conversion factor from pounds to kilograms is 0.45359237, which means that 1 pound is equal to 0.45359237 kilograms: To convert 12 pounds into kilograms we have to multiply 12 by the conversion factor in order to get the mass amount from pounds to kilograms.